注目
最近の原理論における労働価値説
原理論についてマルクスの『資本論』しか読んだことのない人が、最近の原理論(経済原論)を見て最初に思うことは「労働価値説」はどうなった? ということである。
 結論を先に言えば、マルクスが説こうとしたことを論じるには、『資本論』のような労働価値説を採用する必要はない、さらに、原理論の体系を考えれば採用できない、ということになる。
 マルクスが説こうとしたことの中で、最近の原理論が引き継いでいる点は、
①需要供給による価格決定論への批判。商品は市場に出る前から価値を持つ。
②利潤の源泉を剰余労働に求める。必要労働に対する剰余労働の比率から剰余価値率を示す。
 逆に、引き継いでいない点は、
③商品の交換比率の基準となる価値は投下労働量ではなく、生産価格である。
 
②については個別の商品やその生産過程ではなく、総資本と総労働との関係として剰余価値率が示される。そのため、異種の商品の間での交換比率を持ち出す必要はない。①については同種の商品が大量に存在し、多数の売り手によって売買されていると、売り手間の牽制によって相場の価格としての内在的価値が浮かび上がる。③については資本による生産過程で生産される商品についてはその内在的価値は、生産価格によって裏打ちされる、ということが第3篇「機構論」で説かれる。
生産論と機構論の関係
以上のことを理解するには原理論の体系の性質を知っておく必要がある。第1篇「流通論」は個別の経済主体や個別の資本の活動を示すが、第2篇「生産論」では生産を行う産業資本は、総資本、あるいは総資本の平均的一分肢である。生産論の後半の社会的再生産は総資本と総労働の関係である。そこで示される剰余価値率も総資本と総労働の関係である。第3篇「機構論」では性質の異なる複数の個別資本が競争を行い、利潤が分配されたり、販売や信用など特殊な分野に特化する資本が分化・発生したりする。プロセスとしてみた場合、生産論の総資本と総労働との関係は、機構論の個別資本の競争を経て達成される。(たとえば小幡『経済原論』159頁)
労働価値説について簡単に学説を振り返っておく。まず、マルクスは個別の種類の商品の価値量を、その商品の生産に必要な投下労働量によって規定される、とした。その際、社会的平均労働が凝固する生産過程を暗に前提としている。
これに対して宇野弘蔵は、投下労働量による価値量の規定を生産論へ移した。流通過程では、商品の価値にはあらかじめの基準はなく、売り手による価値表現と購買による価値尺度が繰り返される。生産論では投下労働量で価値量が規定される価値法則について、①必要労働量と、生活物資を買戻す貨幣賃金との関係が価値法則の必然的根拠、②価値を基準にした社会的再生産を示す再生表式が回法則の絶対的基礎、とした。
最近の原理論での投下労働量
最近の原理論では、置塩の方法を引き継ぎ、生産論では以下のように投下労働量が計算される。たとえば小幡『経済原論』の計算例では、小麦と鉄が以下のような生産技術で社会的再生産が構成されているとして、
小麦6kg + 鉄4kg + 農耕労働6時間 = 小麦20kg  …①
小麦8kg + 鉄4kg + 製鉄労働4時間 = 鉄20kg   …②
 ①の両辺を4倍して②の式と足し合わせ、両辺に現れるものを相殺すると、
農耕労働24時間 + 製鉄労働4時間 = 小麦48kg
こうすると、鉄をつくる労働は小麦を作る労働の一部に吸収される。よく考えてみると小麦を作る労働とは言っても、いつも小麦にかかりっきりというわけではなく、さまざまな道具をつくる労働も含まれる。結果として、
小麦1kg = 7/12時間となり、同様に、鉄1kg = 13/24時間となる。
生産過程が確定的で、同一の生産物の生産方法が単一であれば、剰余価値率にかかわらず、生産物に投下された労働量は客観的に示される。この関係は行列で一般的に表現できるが、ここでは省略する。
次に剰余価値率について、
同じく小幡『経済原論』の数値例を使うと、
労働者が10時間の労働を行うのに、小麦5kgと鉄5kgを消費する場合、投下労働量で示した剰余価値率は
労働者が取得する生活物資は 5×7/12 + 5×13/24 = 135/24時間 の労働量が投下されており、
剰余生産物は (20-6-8-5)×7/12 + (20-4-4-5)×13/24 = 105/24時間 の労働量が投下されている。
剰余価値率は、105/24 ÷ 135/24 = 7/9 
ところで労働量の比を剰余価値率というのは、労働量と価値を等値するからである(小幡『経済原論』159頁)。社会的な総量の関係なので個別商品の交換比率としての価値とは関係ないが、そもそも価値にする必要があるのか、という疑問も生じる。もっと最近の原理論の教科書、さくら原論研究会『これからの経済原論』では「剰余価値率」という用語はなくなり、「搾取率」となっている。「価値」ではなく、投下労働時間だけで説明が完了する。
投下労働量による剰余価値率の意味
個別商品の基準が生産価格ならば、剰余価値率も生産価格で計算する、という方法も考えられるかもしれないが、生産価格では、賃金の水準の変動は生産価格体系を変化させる。
そのため、剰余価値率(つまり階級間の分配関係)をはかる尺度としては、価格は分配関係に影響されるが、投下労働量は分配関係に影響されない基準として適切となる。(小幡『経済原論』151頁)
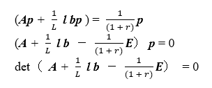
投下労働量と生産価格を一般的に表現すると以下のようになる。
xは各生産物に対象化された労働量のベクトル、ℓは各生産物の生産での生きた労働(追加労働)時間のベクトル。Aは生産手段の必要量を示す行列。
なお、Aはn×n行列、l はn次の縦ベクトル、bはn次の横ベクトル、l はn×n行列、Eはn次の単位行列、L, rはスカラー量
Ax+ℓ  =  x
(E-A)-1 ℓ = x
いま、i 番目の生産物の価格をpi として、諸価格を表す縦ベクトルをp, 賃金率をw とおき、各生産物に関して均等な利潤率r が成立すると、(固定資本や流通期間が存在しないと仮定して)
(Ap + lw)(1 + r) = p  …(1)
となる。さらに、労働者が全体として消費する生産物j の物量をbi、bi をi 番目の要素とする横ベクトルをb とし、労働者階級はb を消費して、各生産物の生産のための労働時間lの総計L 時間の労働をおこなうと仮定すれば、
bp = Lw            …(2)
 (1)と(2) を連立させれば、生産価格、費用価格、一般的利潤率が導き出される。

 
コメント
コメントを投稿